In the last lesson we looked at the representation of women among people graduating with a Bachelor’s degree at different types of institutions and at the difference in representation of women who graduated from large research extensive universities with a bachelor’s degree and a doctorate degree. To achieve this, we used a number of functions we had seen in previous lessons but in a new context: read_csv, read_excel, filter, group_by, summarize, select, inner_join, and arrange. We also met some new functions including those to plot continuous data against categorical data like geom_jitter, geom_boxplot, and geom_violin. We also learned how to move rows to columns using pivot_wider. We put this all to good effect to see some interesting relationships in the data, namely, there’s evidence for a “leaky pipeline” as women move from a bachelor’s to doctoral degree program. If you did the Exercises at the end of the session, you also saw the even larger leaky pipeline among Black and African American individuals.
In this lesson, I want to build upon these observations to look at the differences for these and other groups of people. Like the exercises, we could repeat the analysis we did for women, substituting each women for each group. That would be tedious and would likely result in a lot of duplicated code (i.e. not DRY!). What we already had was close to what we want, so we’ll be building upon those earlier concepts. Here is the code collected together to generate the final figure from the last session.
library(tidyverse)
doc_institutions <- read_csv("ipeds/hd2018.csv") %>%
filter(CARNEGIE == "15") %>%
select(UNITID, INSTNM)
degree_rates <- read_csv("ipeds/c2018_a.csv") %>%
filter(MAJORNUM == 1 & CIPCODE == "99" & CTOTALT > 0 & (AWLEVEL == "05" | AWLEVEL == "17")) %>%
inner_join(doc_institutions, ., by="UNITID") %>%
select(-CIPCODE, -MAJORNUM, -starts_with("X")) %>%
mutate(f_women = CTOTALW / CTOTALT) %>%
select(UNITID, INSTNM, AWLEVEL, f_women)
degree_rates %>%
ggplot(aes(x=AWLEVEL, y=f_women, group=UNITID)) +
geom_line()
degree_rates %>%
select(INSTNM, AWLEVEL, f_women) %>%
pivot_wider(names_from=AWLEVEL, values_from=f_women) %>%
mutate(percent_drop = 100*(`05` - `17`)/`05`) %>%
summarize(med_bachelors = median(`05`, na.rm=T),
med_doctorate = median(`17`, na.rm=T),
med_drop = median(percent_drop, na.rm=T))
## # A tibble: 1 x 3
## med_bachelors med_doctorate med_drop
## <dbl> <dbl> <dbl>
## 1 0.527 0.465 10.7

In this code chunk, we worked with the data in columns CTOTALT and CTOTALW of ipeds/c2018_a.csv. If you look at the “varlist” page of the ipeds/c2018_a.xlsx workbook, you’ll see a number of categories to classify people…
```
CTOTALW - Grand total women
CAIANT - American Indian or Alaska Native total
CASIAT - Asian total
CBKAAT - Black or African American total
CHISPT - Hispanic or Latino total
CNHPIT - Native Hawaiian or Other Pacific Islander total
CWHITT - White total
C2MORT - Two or more races total
CUNKNT - Race/ethnicity unknown total
CNRALT - Nonresident alien total
```
Beyond these are a break down by men and women. Those are denoted by a “M” or “W” in place of the “T” as the final character in the column names. For our first pass of the data we will look at the total for each group (except for women overall). Of course, our grand total column CTOTALT tells us the total number of individuals, regardless of gender, race/ethnicity, or nationality. Above, we generated a column, f_women. We’d like to generate a column for each of these other groups as well. For example, we need a f_aian column that equals CAIANT/CTOTALT to represent the fraction of “American Indian or Alaskan Native” individuals. We’ll repeat this for the other groups as well.
degree_rates <- read_csv("ipeds/c2018_a.csv") %>%
filter(MAJORNUM == 1 & CIPCODE == "99" & CTOTALT > 0 & (AWLEVEL == "05" | AWLEVEL == "17")) %>%
inner_join(doc_institutions, ., by="UNITID") %>%
select(-CIPCODE, -MAJORNUM, -starts_with("X")) %>%
mutate(f_women = CTOTALW / CTOTALT,
f_aian = CAIANT / CTOTALT,
f_asia = CASIAT / CTOTALT,
f_bkaa = CBKAAT / CTOTALT,
f_hisp = CHISPT / CTOTALT,
f_nhpi = CNHPIT / CTOTALT,
f_whit = CWHITT / CTOTALT,
f_2mor = C2MORT / CTOTALT,
f_unkn = CUNKNT / CTOTALT,
f_nral = CNRALT / CTOTALT) %>%
select(UNITID, INSTNM, AWLEVEL, f_women, f_aian, f_asia, f_bkaa, f_hisp, f_nhpi, f_whit, f_2mor, f_unkn, f_nral)
If you look at degree_rates, you’ll see that we now have the fraction of bachelor’s and doctorate graduates at each school broken down by each of these groupings. I can imagine multiple analyses using this data frame. To do each of those we need to tidy the data frame. We need a column that indicates the grouping and a column that contains the level of representation. To do this, we will use the function opposite of pivot_wider. We will use pivot_longer. Both of these pivot_ functions are relatively new. I’m still use to spread and gather, which are their counterparts, but are no longer being maintained. Until I use a function enough times, I need to look at the usage description in its help page - ?pivot_longer
Usage:
pivot_longer(
data,
cols,
names_to = "name",
names_prefix = NULL,
names_sep = NULL,
names_pattern = NULL,
names_ptypes = list(),
names_repair = "check_unique",
values_to = "value",
values_drop_na = FALSE,
values_ptypes = list()
)
This tells me that I need to provide it the data (this will be piped from degree_rates), the columns (cols) to be gathered together, the name of the new column that will aggregate the names of the columns to be gathered (names_to), and the name of the new column that will aggregate the values in the columns to be gathered (values_to). Here’s an example…
temps <- tibble(day=c(1,2,3), chicago=c(75, 77, 74), detroit=c(69, 71, 70), nashville=c(79,80,78))
temps
## # A tibble: 3 x 4
## day chicago detroit nashville
## <dbl> <dbl> <dbl> <dbl>
## 1 1 75 69 79
## 2 2 77 71 80
## 3 3 74 70 78
In this example, the columns I want to gather are chicago, detroit, and nashville. I want the column names to be aggregated in a new column, city. Finally, their temperatures should go to a new column, temperatures. I can do this with pivot_longer by one of two ways…
temps %>%
pivot_longer(cols=c(chicago, detroit, nashville), names_to="city", values_to="temperatures")
## # A tibble: 9 x 3
## day city temperatures
## <dbl> <chr> <dbl>
## 1 1 chicago 75
## 2 1 detroit 69
## 3 1 nashville 79
## 4 2 chicago 77
## 5 2 detroit 71
## 6 2 nashville 80
## 7 3 chicago 74
## 8 3 detroit 70
## 9 3 nashville 78
or
temps %>%
pivot_longer(cols=-day, names_to="city", values_to="temperatures")
## # A tibble: 9 x 3
## day city temperatures
## <dbl> <chr> <dbl>
## 1 1 chicago 75
## 2 1 detroit 69
## 3 1 nashville 79
## 4 2 chicago 77
## 5 2 detroit 71
## 6 2 nashville 80
## 7 3 chicago 74
## 8 3 detroit 70
## 9 3 nashville 78
If my city names had something in common that denoted that they were cities, I could use the starts_with, ends_with, etc helper functions. Turning to our graduation data we can exploit this fact. Here is the explicit listing of the columns to gather
degree_rates %>%
pivot_longer(cols=c("f_women", "f_asia", "f_bkaa", "f_hisp", "f_nhpi", "f_whit", "f_2mor", "f_unkn", "f_nral"), names_to="group", values_to="f_of_graduates")
## # A tibble: 2,700 x 6
## UNITID INSTNM AWLEVEL f_aian group f_of_graduates
## <dbl> <chr> <chr> <dbl> <chr> <dbl>
## 1 100663 University of Alabama at Birmin… 05 0.00203 f_wom… 0.600
## 2 100663 University of Alabama at Birmin… 05 0.00203 f_asia 0.0641
## 3 100663 University of Alabama at Birmin… 05 0.00203 f_bkaa 0.217
## 4 100663 University of Alabama at Birmin… 05 0.00203 f_hisp 0.0341
## 5 100663 University of Alabama at Birmin… 05 0.00203 f_nhpi 0.000406
## 6 100663 University of Alabama at Birmin… 05 0.00203 f_whit 0.626
## 7 100663 University of Alabama at Birmin… 05 0.00203 f_2mor 0.0305
## 8 100663 University of Alabama at Birmin… 05 0.00203 f_unkn 0.00609
## 9 100663 University of Alabama at Birmin… 05 0.00203 f_nral 0.0203
## 10 100663 University of Alabama at Birmin… 17 0 f_wom… 0.590
## # … with 2,690 more rows
Alternatively, we could have also written…
degree_rates %>%
pivot_longer(cols=c(-UNITID, -INSTNM, -AWLEVEL), names_to="group", values_to="f_of_graduates")
## # A tibble: 3,000 x 5
## UNITID INSTNM AWLEVEL group f_of_graduates
## <dbl> <chr> <chr> <chr> <dbl>
## 1 100663 University of Alabama at Birmingham 05 f_women 0.600
## 2 100663 University of Alabama at Birmingham 05 f_aian 0.00203
## 3 100663 University of Alabama at Birmingham 05 f_asia 0.0641
## 4 100663 University of Alabama at Birmingham 05 f_bkaa 0.217
## 5 100663 University of Alabama at Birmingham 05 f_hisp 0.0341
## 6 100663 University of Alabama at Birmingham 05 f_nhpi 0.000406
## 7 100663 University of Alabama at Birmingham 05 f_whit 0.626
## 8 100663 University of Alabama at Birmingham 05 f_2mor 0.0305
## 9 100663 University of Alabama at Birmingham 05 f_unkn 0.00609
## 10 100663 University of Alabama at Birmingham 05 f_nral 0.0203
## # … with 2,990 more rows
…or…
degree_rates %>%
pivot_longer(cols=starts_with("f_"), names_to="group", values_to="f_of_graduates")
## # A tibble: 3,000 x 5
## UNITID INSTNM AWLEVEL group f_of_graduates
## <dbl> <chr> <chr> <chr> <dbl>
## 1 100663 University of Alabama at Birmingham 05 f_women 0.600
## 2 100663 University of Alabama at Birmingham 05 f_aian 0.00203
## 3 100663 University of Alabama at Birmingham 05 f_asia 0.0641
## 4 100663 University of Alabama at Birmingham 05 f_bkaa 0.217
## 5 100663 University of Alabama at Birmingham 05 f_hisp 0.0341
## 6 100663 University of Alabama at Birmingham 05 f_nhpi 0.000406
## 7 100663 University of Alabama at Birmingham 05 f_whit 0.626
## 8 100663 University of Alabama at Birmingham 05 f_2mor 0.0305
## 9 100663 University of Alabama at Birmingham 05 f_unkn 0.00609
## 10 100663 University of Alabama at Birmingham 05 f_nral 0.0203
## # … with 2,990 more rows
Let’s add the pivot_longer function call to our pipeline that generated degree_rates
degree_rates <- read_csv("ipeds/c2018_a.csv") %>%
filter(MAJORNUM == 1 & CIPCODE == "99" & CTOTALT > 0 & (AWLEVEL == "05" | AWLEVEL == "17")) %>%
inner_join(doc_institutions, ., by="UNITID") %>%
select(-CIPCODE, -MAJORNUM, -starts_with("X")) %>%
mutate(f_women = CTOTALW / CTOTALT,
f_aian = CAIANT / CTOTALT,
f_asia = CASIAT / CTOTALT,
f_bkaa = CBKAAT / CTOTALT,
f_hisp = CHISPT / CTOTALT,
f_nhpi = CNHPIT / CTOTALT,
f_whit = CWHITT / CTOTALT,
f_2mor = C2MORT / CTOTALT,
f_unkn = CUNKNT / CTOTALT,
f_nral = CNRALT / CTOTALT) %>%
select(UNITID, INSTNM, AWLEVEL, f_women, f_aian, f_asia, f_bkaa, f_hisp, f_nhpi, f_whit, f_2mor, f_unkn, f_nral) %>%
pivot_longer(cols=starts_with("f_"), names_to="group", values_to="f_of_graduates")
Because our data are now tidy, we can look at the fraction of graduates from each group
degree_rates %>%
group_by(group, AWLEVEL) %>%
summarize(median = median(f_of_graduates)) %>%
ungroup()
## # A tibble: 20 x 3
## group AWLEVEL median
## <chr> <chr> <dbl>
## 1 f_2mor 05 0.0349
## 2 f_2mor 17 0.0157
## 3 f_aian 05 0.00180
## 4 f_aian 17 0
## 5 f_asia 05 0.0728
## 6 f_asia 17 0.0432
## 7 f_bkaa 05 0.0485
## 8 f_bkaa 17 0.0328
## 9 f_hisp 05 0.0805
## 10 f_hisp 17 0.0389
## 11 f_nhpi 05 0.000974
## 12 f_nhpi 17 0
## 13 f_nral 05 0.0604
## 14 f_nral 17 0.314
## 15 f_unkn 05 0.0150
## 16 f_unkn 17 0.0404
## 17 f_whit 05 0.614
## 18 f_whit 17 0.455
## 19 f_women 05 0.527
## 20 f_women 17 0.465
From this table, we see that the only group that is better represented among those awarded a doctorate than a bachelor’s degree is the “Nonresident alien” and “Unknown” groups. Of course, this ignores that the data are paired within an institution, so we’d like to consider how to reflect that. We’ll do what we did in the last session, we’ll use pivot_wider again!
degree_rates %>%
pivot_wider(names_from=AWLEVEL, values_from=f_of_graduates) %>%
mutate(percent_drop = 100*(`05` - `17`)/`05`) %>%
group_by(group) %>%
summarize(med_bachelors = median(`05`, na.rm=T),
med_doctorate = median(`17`, na.rm=T),
med_drop = median(percent_drop, na.rm=T))
## # A tibble: 10 x 4
## group med_bachelors med_doctorate med_drop
## <chr> <dbl> <dbl> <dbl>
## 1 f_2mor 0.0349 0.0157 59.9
## 2 f_aian 0.00180 0 100.
## 3 f_asia 0.0728 0.0432 46.7
## 4 f_bkaa 0.0485 0.0328 32.2
## 5 f_hisp 0.0805 0.0389 58.1
## 6 f_nhpi 0.000974 0 100
## 7 f_nral 0.0604 0.314 -378.
## 8 f_unkn 0.0150 0.0404 -123.
## 9 f_whit 0.614 0.455 20.0
## 10 f_women 0.527 0.465 10.7
Intriguing and depressing results. If you compare the last code chunk to the one that we used to summarize the data for the fraction of women, you’ll notice only a couple of differences.
degree_rates %>%
select(INSTNM, AWLEVEL, f_women) %>%
pivot_wider(names_from=AWLEVEL, values_from=f_women) %>%
mutate(percent_drop = 100*(`05` - `17`)/`05`) %>%
summarize(med_bachelors = median(`05`, na.rm=T),
med_doctorate = median(`17`, na.rm=T),
med_drop = median(percent_drop, na.rm=T))
The key differences were…
select function, which was mainly for our convenience and not really importantpivot_wider went from using values_from=f_women to values_from=f_of_graduates to account for the broader scope of groups we were interested ingroup_by(group) to calculate the median values for each group rather than for womenNext, we’d like to graph the data for each demographic group. I’d like to make slopegraphs like we did before for women. Unfortunately, it’s a bit of a challenge to generate those since the geom_line function we used wants to connect all of the points across the x-axis. Instead, we’ll start with making boxplots. Our degree_rates data frame has UNITID, INSTNM, AWLEVEL, group, and f_of_graduates as its variables. The challenge is figuring out how to map those variables to the desired aesthetics. Let’s start with the easy stuff! It seems obvious that f_of_graduates should go on the y-axis. Along the x-axis I’d like to have the group data and within each group value I would like to see the data for each AWLEVEL value.
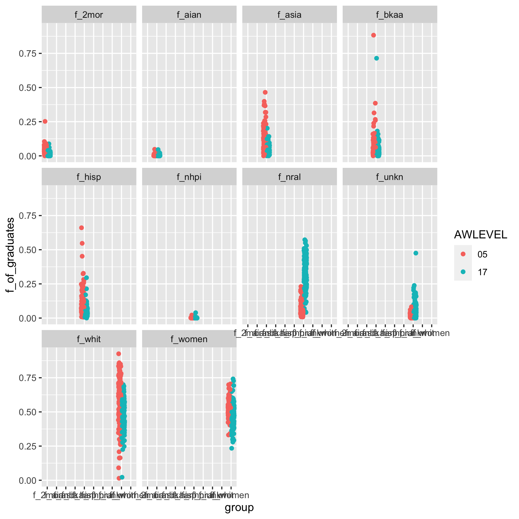
degree_rates %>%
ggplot(aes(x=group, y=f_of_graduates, color=AWLEVEL)) +
geom_boxplot()

If instead we wanted to use geom_jitter we would get this…
degree_rates %>%
ggplot(aes(x=group, y=f_of_graduates, color=AWLEVEL)) +
geom_jitter()

In this case, the points are all plotted on top of each other. Here we need to give geom_jitter a value for its pos argument - position_jitterdodge.
degree_rates %>%
ggplot(aes(x=group, y=f_of_graduates, color=AWLEVEL)) +
geom_jitter(pos=position_jitterdodge())

We can alter the width of the clouds with the jitter.width argument and the distance between the clouds with the dodge.width argument. Also useful is the seed argument since it will make the plots more reproducible.
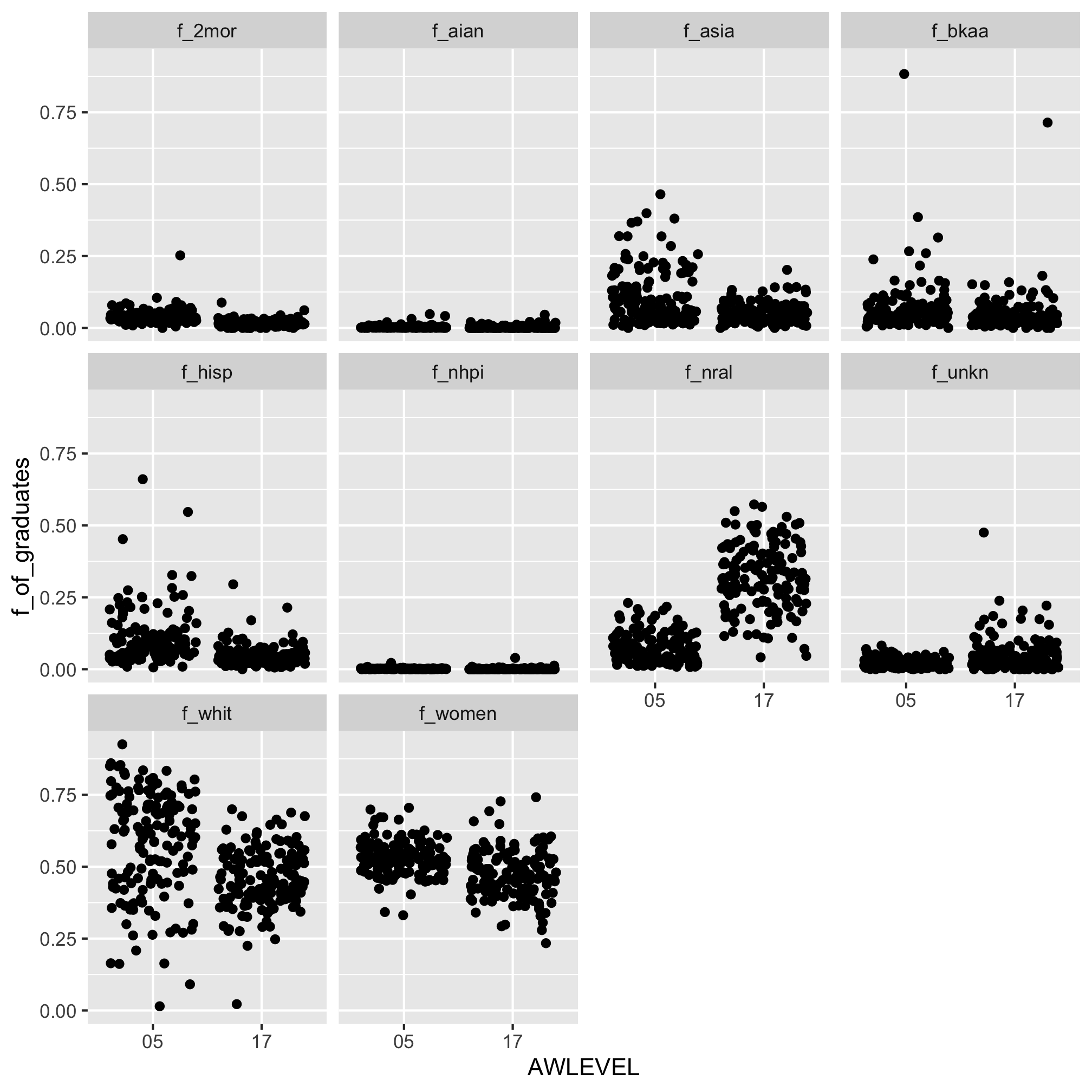
degree_rates %>%
ggplot(aes(x=group, y=f_of_graduates, color=AWLEVEL)) +
geom_jitter(pos=position_jitterdodge(jitter.width=0.3, seed = 1))

Generating the slopegraphs like we had previously, isn’t trivial to do in a single plot. One option we have is to use facets to generate separate slopegraphs for each group. We can use facet_wrap to create a tiled set of figures. The syntax is to add facet_wrap and to give it the variable you want to make different plots with as an argument following an ~
degree_rates %>%
ggplot(aes(x=group, y=f_of_graduates, color=AWLEVEL)) +
geom_jitter(pos=position_jitterdodge(jitter.width=0.3, seed = 1)) +
facet_wrap(~group)

That gets us close, but we don’t need all the other groupings on the x-axis. Once we remove the other groupings, we also no longer need the position_jitterdodge
degree_rates %>%
ggplot(aes(x=AWLEVEL, y=f_of_graduates)) +
geom_jitter() +
facet_wrap(~group)

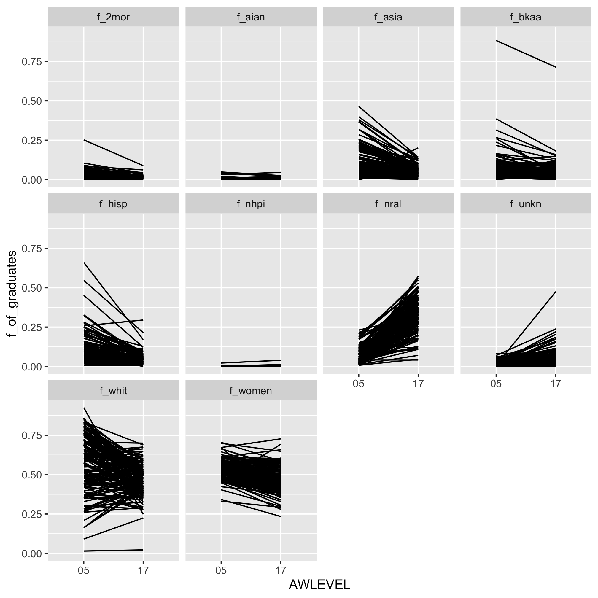
Nice, eh? Let’s replace geom_jitter with geom_line to get our slopegraph
degree_rates %>%
ggplot(aes(x=AWLEVEL, y=f_of_graduates, group=UNITID)) +
geom_line() +
facet_wrap(~group)

A couple of other things are useful to know about facet_wrap. First, we have 10 groups so it outputs a 3 by 4 grid of figures. Perhaps I would rather have 4 rows rather than 3. We can use the nrow and/or ncol arguments to set the number of rows
degree_rates %>%
ggplot(aes(x=AWLEVEL, y=f_of_graduates, group=UNITID)) +
geom_line() +
facet_wrap(~group, nrow=4)

Second, in our case, it might be helpful to let the y-axis scale vary by each facet. Note that this can sometimes be frowned upon because it makes it harder to compare across facets. We can “free” up the y-axis scales by using scales="free_y" (and free_x if you wanted to vary the x-axis range)
degree_rates %>%
ggplot(aes(x=AWLEVEL, y=f_of_graduates, group=UNITID)) +
geom_line() +
facet_wrap(~group, scales="free_y")

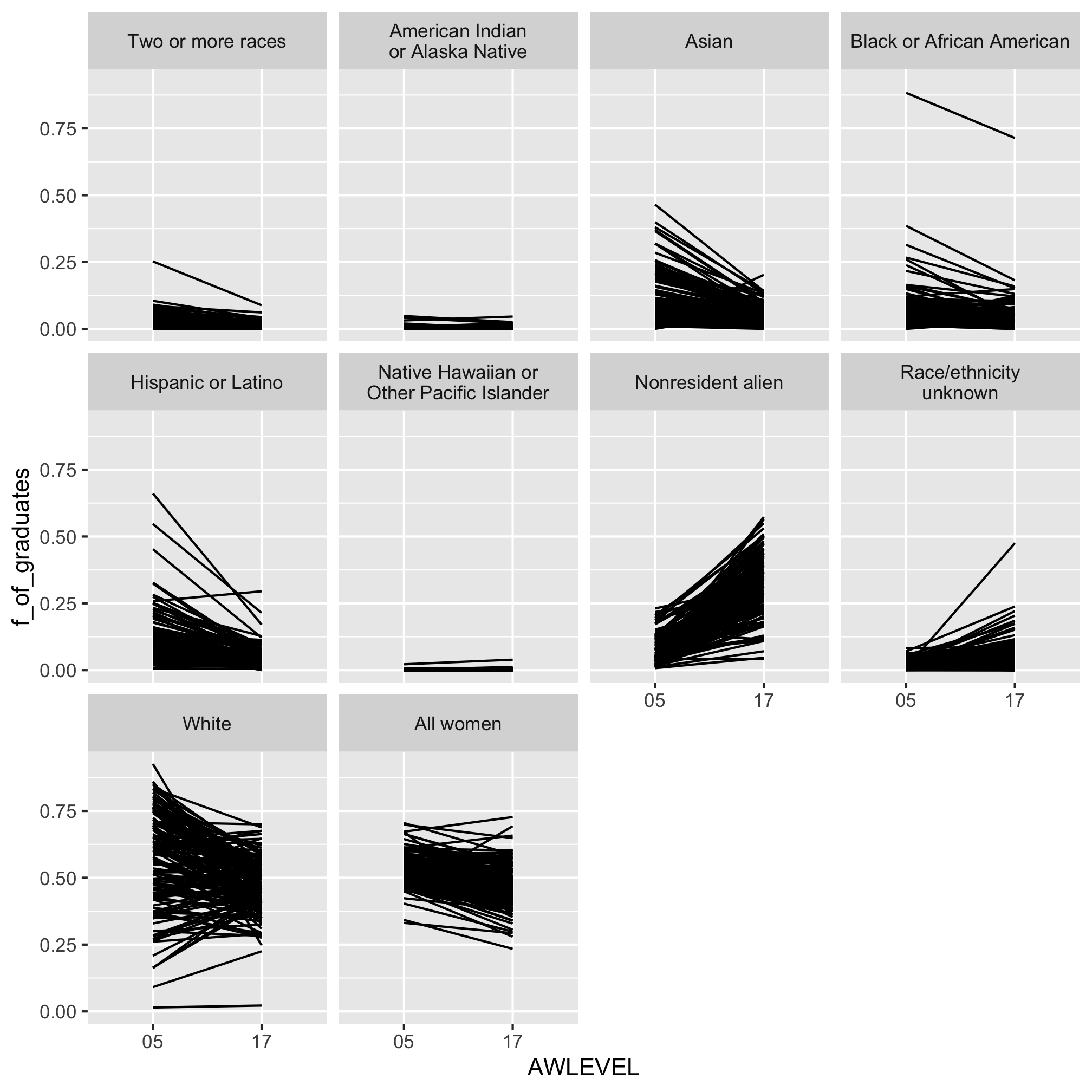
Finally, our facet heading labels aren’t very attractive. We can specify the label by giving facet_wrap a lookup table that maps the abbreviation to the desired text
group_lookup <- c(f_2mor="Two or more races",
f_aian="American Indian\nor Alaska Native",
f_asia="Asian",
f_bkaa="Black or African American",
f_hisp="Hispanic or Latino",
f_nhpi="Native Hawaiian or\nOther Pacific Islander",
f_nral="Nonresident alien",
f_unkn="Race/ethnicity\nunknown",
f_whit="White",
f_women="All women")
degree_rates %>%
ggplot(aes(x=AWLEVEL, y=f_of_graduates, group=UNITID)) +
geom_line() +
facet_wrap(~group, labeller=labeller(group = group_lookup))

1. The results presented in the last figure were for graduates of research extensive institutions. Can you add the data from research intensive institutions as well? Can you plot the Carnegie classification as the color of the line in your slopegraph?
2. In Exercise 1, several institutions stand out for graduating a large fraction (i.e. >80%) of individuals from different groups with bachelor’s and doctorate degrees. Who are these institutions? What Carnegie class are these institutions from?
3. One of the challenges with looking at relative abundance data is that if one group goes up, all of the others go down. Based on my experiences with graduate education, I wonder if some of the numbers are skewed because of the large number of non-US citizens that come to US institutions to pursue a PhD. As an alternative, look at the data as a ratio of counts to the traditionally privileged class, white men (i.e. CWHITM). This will tell us, relative to white men, whether a group is going up or down.
4. Can you “beautify” the faceted plot that we ended with before starting the exercises to make it look more attractive?
scale_y_continuous to change the fractions to percentages at 0, 25, 50, 75, and 100scale_x_discrete to use text to describe the AWLEVEL valuescoord_cartesian to lengthen the y-axis from 0 to 100%